Gambar 1 Flowchart Algoritma Metode Job Index Sebagai Local Search Download Scientific Diagram
Algoritma Jodoh Kompasiana Com
Gambar 3 Algoritma Program Flowchart Download Scientific Diagram
Algoritma Data Science School Algoritma
Algoritma Apa Itu Perkembangan Ciri Ciri Dan Komponennya
Flowchart Of C4 5 Algorithm Flowchart Algoritma C4 5 Download Scientific Diagram
Algoritma Jodoh Kompasiana Com
Algoritma Pengertian Sejarah Hingga Manfaatnya Dalam Kehidupan Sehari Hari Berita Info Publik Pendidikan Pelayanan Publik
Mengenal Apa Itu Algoritma Definisi Ciri Ciri Dan Contohnya Idcloudhost
Belajar Algoritma Behangat Com
Algoritma Data Science School Algoritma
Algoritma Dan Pemrograman Karindpermata
Data Science Academy Algoritma Algoritma
Belajar Implementasi Algoritma Pemrograman Pada Python By Bambang Ts Mtiakakom Medium
File Logo Algoritma Png Wikimedia Commons
Visualgo Visualisasi Struktur Data Dan Algoritma Dengan Animasi Indonesian
Algoritma Kehidupan Esa Puspita
Gambar 3 1 Algoritma Penggunaan Data Kamera Video Pada Modul Koreksi Download Scientific Diagram
Pengertian Apa Itu Algoritma Pemrograman Dan Contohnya Qwords
About Algoritma Data Science Education Center Youtube
Algoritma Algoritma Ve Programlama Hakkinda Bircok Soru Soruluyor Genelde Karmasik Bir Konu Gibi Gozukse De Programlama Resimler Biliyor Muydunuz
Mengenal Apa Itu Algoritma Definisi Ciri Ciri Dan Contohnya Idcloudhost
Gambar 1 Flowchart Algoritma Pso Download Scientific Diagram
Algoritma Nyeri Dada Dian W Myocardial Infarction Thorax
Algoritma Srl Akeneo The 1 Open Source Enterprise Pim
Data Science Fundamentals Machine Learning Algoritma
Algoritma Nedir Bir Sorunu Cozmek Veya Belirlenmis Bir By Hale Pamukkale Ybs Medium
Essay Hidup Di Zaman Algoritma Portal Berita Pendidikan Aktual Terpercaya Potretpendidikan Com
Algoritma Weekend Track Algoritma
Flow Chart Visual Programming Languange Programi Ile Algoritma Dersi 2 Youtube
7 Contoh Algoritma Pemrograman Dasar Untuk Latihan Dosenit Com
Gambar 3 Algoritma Floyd Warshall Download Scientific Diagram
Kickstart The Future Of Jobs Algoritma
Beasiswa Algoritma Data Science Untuk Mahasiswa On Going Scholars Official
Data Mining 5 Algoritma Klastering Ppt Download
Programming For Data Science Algoritma Algoritma
Algoritma Data Science School On Twitter
Machine Learning Specialization Algoritma
Pengertian Algoritma Adalah Mengenal Apa Itu Algoritma
Https Encrypted Tbn0 Gstatic Com Images Q Tbn And9gcs2a7n4bx8eipazx2dadvqzgw9s1b6 Rsvcwzlrjo9cf2la9pyq Usqp Cau
Algoritma Dan Pemrograman Terstruktur Universitas Muhammadiyah Pekajangan Pekalongan
Contoh Program Algoritma Bubble Sort Lasopacenters
New Normal Algoritma Startup Distributes Idr 8 Billion Scholarship
Cara Cara Mengakali Misteri Algoritma Instagram 2019
Classification In Machine Learning 1 Algoritma Algoritma
Algoritma Transparent Background Png Cliparts Free Download Hiclipart
Gambar 9 Alur Algoritma Pengukuran Sudut Kontak Menggunakan Pendekatan Download Scientific Diagram
Algoritma Data Science School On Twitter
Belajar Membuat Algoritma Bagian Ke 2 Bpptik
Python For Data Analysts Algoritma Algoritma
Algoritma Nedir Fevzi Cakmak Ortaokulu
Algoritma Terapi Farmakologi Ckd
New Normal Algoritma Startup Distributes Idr 8 Billion Scholarship
21 Contoh Algoritma Dan Flowchart Badoy Studio
3 Contoh Algoritma Sekuensial Runtunan Kelas Programmer
5 Algoritma Terbaik Yang Harus Diketahui Setiap Programmer Teknologi Id
Algoritma Ders 1 Algoritma Nedir Algoritma Mantigi Youtube
Data Mining 5 Algoritma Klastering Ppt Download
Kesimpulan Dari 1303ppa105 1 Algoritma Dan Pemrograman 1 A4 U311
Gambar 2 Algoritma Deteksi Microaneurysm Download Scientific Diagram
Algoritma Weekend Track Algoritma
Https Encrypted Tbn0 Gstatic Com Images Q Tbn And9gctt2tabmbb5x4tixflh6x 0dawaxwoyhl Cos3z Jk Usqp Cau
Contoh Program Algoritma Greedy Lasopaintelli
Data Science Academy Algoritma Algoritma
Pengertian Apa Itu Algoritma Pemrograman Dan Contohnya Qwords
Msim4203 Algoritma Dan Pemrograman Perpustakaan Ut
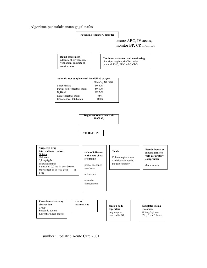
Algoritma Penatalaksanaan Gagal Nafas
Belajar Algoritma Behangat Com
Algoritma Startup Jobs Asia Startup Hire Startup Hiring Startup Recruiting Startup Jobs Vc Hire Vc Jobs Work In Startups
Algoritma Dan Pemrograman Andikafisma S Blog
Source Code Algoritma Greedy Cubaretpa
Perbedaan Algoritma Dan Flowchart Lancang Kuning
Belajar Algoritma Sederhana Smp N 6 Blora
21 Contoh Algoritma Dan Flowchart Badoy Studio
Algoritma Data Science School On Twitter
Tips Menguasai Algoritma Youtube
Algoritma Royalty Free Vector Image Vectorstock
Gambar 6 Algoritma Greedy Pada Problem Knapsack 0 1 Menggunakan Bahasa Download Scientific Diagram
Algoritma Tujuan Pembelajaran Diharapkan Dapat 1 Mengerti
Algoritma Penggantian Fifo First In First Out Youtube
Apa Itu Algoritma Pengertian Sejarah Dan Contohnya Bootup Ai Blog
Https Encrypted Tbn0 Gstatic Com Images Q Tbn And9gcshacox5cxitm1hgc Co6nueharfb Pl2kmn7dryqeannvvyd9k Usqp Cau
Pengertian Algoritma Dan Contohnya Belajar Teknik Informasi
Apa Itu Algoritma Trading Nobi Blog
Daftar Algoritma Google Paling Update Dan Cara Kerjanya
Reviewed by guruku
on
February 16, 2021
Rating:










No comments: